2018上半年,FDA共批准20个新分子实体和新生物制品,包括15个新分子实体和5个新生物制品。
1. Lutathera(lutetium Lu 177 dotatate)
1月26日,FDA批准了诺华子公司法国Advanced Accelerator Applications 公司(先进加速器应用公司)Lutathera用于治疗胃肠胰腺神经内分泌肿瘤(GEP-NETs),这也是放射性药物首次被FDA批准用于治疗GEP-NETs。
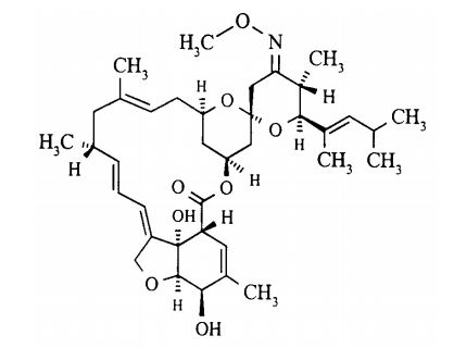
Lutathera结构式
Lutathera是一种Lu-177标记的生长抑素类似物,属于新兴的肽受体放射性核素疗法(PRRT),通过与一种称为生长激素抑制素受体的细胞结合而起作用,该生长抑素受体可能存在于某些肿瘤上。在与受体结合之后,药物进入细胞,释放辐射来损伤肿瘤细胞。
胃肠胰神经内分泌肿瘤是一组起源于神经外胚层、含神经内分泌颗粒的肿瘤。可存在于胰腺和胃肠道的不同部位,如胃,肠,结肠和直肠。据估计,每年约有27,000人中有一人被诊断为胃肠胰神经内分泌肿瘤。
Lutathera的批准得到了两项研究的支持。首先是一项关键性随机III期临床研究NETTER-1的数据,涉及229例患有某种晚期生长抑素受体阳性GEP-NET的患者。试验中的患者在正接受诺华已上市药物Sandosatin治疗且过表达生长抑素受体的不可手术治愈的中肠神经内分泌肿瘤患者中开展,将Lutathera与双剂量Sandosatin进行了对比。数据显示,Lutathera使疾病进展或死亡风险大幅降低79%。
第二项研究基于来自生长抑素受体阳性肿瘤患者的1214名患者的资料,包括GEP-NETS。结果显示:注射Lutathera的360名GEP-NETs患者,16%出现部分肿瘤缩小。
2. Biktarvy
Biktarvy是一种三合一复方剂型,由HIV-1整合酶链转移抑制剂(INSTI)bictegravir(50mg)以及两种HIV-1核苷类似物逆转录酶抑制剂(NRTIs)emtricitabine(200mg)和tenofovir alafenamide(25mg)组成。
bictegravir钠盐结构式
Biktarvy适应症为在没有抗逆转录病毒治疗史的成年人中用于治疗HIV-1感染的完整方案,或者在接受抗逆转录病毒疗法少于3个月、且取代抗逆转录病毒疗法病毒学抑制(HIV-1 RNA载量低于50个拷贝/ mL)、没有失败的治疗史,并且没有对Biktarvy个体组分的抗性相关联的既往反应。
Biktarvy的主要安全性评估基于来自两个随机双盲主动对照试验(试验1489和试验1490)的48周数据,共招募了1274名HIV-1感染、没有抗逆转录病毒治疗史的成年受试者,其中有634名受试者接受每天一次一片Biktarvy。
在试验1489和1490试验中,Biktarvy组中至少有5%的受试者报告最常见的不良反应(所有成绩)为腹泻,恶心和头痛。停用Biktarvy,abacavir [ABC] / dolutegravir [DTG] / lamivudine [3TC])或DTG + FTC / TAF治疗,受试者严重程度不良事件比例依次1%,1% ,<1%。
BIKTARVY另外的安全性使基于282名病毒学得到抑制的受试者48周数据。这项随机双盲主动对照试验(试验1844)中病毒抑制受试者从DTG + ABC / 3TC或 (ATV)(给予cobicistat或ritonavir)或地瑞那韦(darunavir)的方案其中病毒学抑制的受试者从含有阿扎那韦(ATV)的方案转换为开放标签,主动与对照试验的290名受试者的第48周数据 DRV(与cobicistat或ritonavir一起给药)加FTC / TDF或ABC / 3TC至BIKTARVY(试验1878)进行对比。总的来说,1844和1878年试验中病毒得到抑制的成年受试者的安全性与没有抗逆转录病毒治疗史的受试者相似。
3. Symdeko(tezacaftor+ ivacaftor)
囊性纤维化是一种罕见的会缩短寿命的遗传疾病,影响了北美、欧洲和澳大利亚约 75000 名患者,由基因突变导致的CFTR蛋白缺陷或缺失引起。儿童必须遗传到分别来自父母的两个有缺陷的CFTR基因,才会患囊性纤维化。
Symdeko用于治疗12岁及以上的囊性纤维化患者,是tezacaftor和ivacaftor的复合剂,也是Vertex获得FDA批准的第3种针对囊性纤维化根本病因的治疗药物。
tezacaftor结构式
Symdeko是获批主要基于名为EVOLVE和EXPAND的两个Ⅲ期研究。研究共招募了约750名年龄在12岁及以上的囊性纤维化患者,他们携带两个 F508del突变,或者携带一个 F508del突变和带有残余CFTR功能的突变。在这两项研究中,接受 SYMDEKO 治疗的患者肺功能和其他指标得到有统计学意义和临床意义的改善,并且证实具有安全性。
4. Erleada(apalutamide)
Erleada(apalutamide)属于第二代高选择性雄激素受体(AR)拮抗剂,与雄激素受体的亲和力是第一代AR拮抗剂的5倍以上。强生在2013年8月以10亿美元(6.5亿美元首付款+3.5亿美元里程金)收购Argon公司将ARN-509(JNJ-56021927,apalutamide)收入囊中,作为对自己前列腺癌产品线的补充。
apalutamide结构式
apalutamide的安全性及疗效在涉及1207例非转移性去势抵抗前列腺癌的随机研究中得到证实。患者随机给予apalutamide或安慰剂,并接受内分泌治疗,包括接受促性腺激素释放激素(GnRH)类似物,或者手术去势(切除双侧睾丸)以降低体内雄激素水平。结果显示,apalutamide治疗组无转移生存期相比安慰剂组显著延长(40.5 vs 16.2个月)。
Erleada获得过FDA的优先审评资格,是FDA批准的首个治疗非转移性去势抵抗前列腺癌的药物,也是首个凭借无转移生存期(metastasis-free survival,MFS)的临床终点获批上市的肿瘤新药。所谓无转移生存期,是指从非转移性肿瘤患者从开始治疗到肿瘤细胞转移至身体其他器官或死亡的时间。
前列腺癌是一种雄激素依赖的肿瘤,雄激素可以刺激前列腺癌细胞的生长和疾病进展。前列腺癌的治疗选择相对有限,目前全球最畅销的前列腺癌药物是Zytiga(阿比特龙,CYP17A1抑制剂)、Xtandi(恩杂鲁胺,雄激素受体拮抗剂)。前者2017年全球销售额达到25亿美元,后者更是吸引辉瑞花费140亿美元的大代价收购了Medivation。
5. Trogarzo(ibalizumab-uiyk)
Trogarzo (ibalizumab-uiyk)是一种静脉滴注的人源化免疫球蛋白G4单克隆抗体,它与CD4+T细胞受体的第二个胞外区域结合,阻止HIV病毒入侵这些细胞,和PRO140类似都是一种“病毒侵入抑制剂”。它是10多年来首款具有全新作用机制的抗逆转录病毒疗法,也是首例在中国生产、并得到美国FDA批准进入美国临床试验的无菌生物制剂。
Trogarzo是一种全新的抗逆转录病毒疗法,用于治疗现有多种疗法均无法起效的成人艾滋病病毒(HIV)感染者。使用用方法是,患者每14天静脉内注射一次,也可与其他同类药物联合使用。
Trogarzo的安全性与疗效在一项临床试验中已得到了验证。该试验招募了40名感染有多重耐药性HIV的患者,他们均重度经治,有些患者甚至已经接受过10种或更多的抗逆转录病毒疗法。然而,研究人员发现,患者即便接受了大量治疗,他们血液中的病毒水平(HIV-RNA)依旧很高。但在原有疗法中,加入Trogarzo的治疗一周后,大部分患者血液中的HIV-RNA水平就有显著下降。24周后,43%的患者其HIV-RNA水平得到了抑制。
详见:FDA批准HIV治疗药物Trogarzo,每14天注射一次
6. Ilumya(tildrakizumab)
银屑病是皮肤上出现的非传染性慢性免疫性疾病,可加速皮肤细胞的生长周期,并导致皮肤出现厚厚的鳞屑区域。最常见的银屑病形式为斑块型银屑病,影响了大约 80%至90%的银屑病患者。
Ilumya(tildrakizumab)可以选择性结合IL-23的p19亚基,并抑制其与 IL-23 受体作用,从而抑制促炎细胞因子和趋化因子的释放。在完成初始剂量的第0周和第4周,Ilumya每12周通过皮下注射以100mg的剂量施用。Ilumya不适合对tildrakizumab 严重过敏的患者。
FDA批准基于关键Ⅲ期临床项目reSURFACE的数据支持。在两项多中心、随机、双盲、安慰剂对照试验(reSURFACE 1 和 reSURFACE 2)中,926名成人患者接受 ILUMYA(N=616)或安慰剂(N=310)治疗。这两项研究均达到了主要疗效终点,证明与安慰剂相比,施用Ilumya 100mg能取得显著的临床改善。
其中,reSURFACE1研究有74%(229人)的患者在3次用药后第 28 周达到75%的皮肤清除率,84%持续使用 ILUMYA100 mg的患者在第64周能维持 PASI 75,而重新随机分配使用安慰剂的患者只有22%的人能维持这一效果。接受 ILUMYA 100 mg 治疗且在第28周时PGA评分为“清除”或“最小”的患者中,有69%的人在第64周时能维持这一反应,而被重新随机分配接受安慰剂的患者中只有14%的人能维持这一反应。
7. Tavalisse(fostamatinib)
Tavalisse (fostamatinib disodium hexahydrate)是一种口服的脾脏酪氨酸激酶(SYK)抑制剂,通过阻止血小板的破坏来应对疾病的潜在自身免疫原因,为成年慢性ITP患者提供了一个重要的新的治疗方案。
fostamatinib结构式
慢性ITP是一种罕见的自身免疫性疾病,其中免疫系统破坏血小板,这是正常血液凝固所必需的。这种疾病很难治疗,因为不可能预测人们如何回应可用的治疗方法。Tavalisse用于对之前治疗缓解不佳的成年慢性免疫性血小板减少症(ITP)患者血小板减少的治疗。
Tavalisse的批准依赖于FIT临床研究项目的数据,FIT包含两项随机安慰剂对照的Ⅲ期临床研究047和048、一项开标扩展试验049以及最初的概念验证试验。新药上市申请包括了163例ITP患者的数据,并得到了一项安全数据集的支持,该数据集包含4600多名涉及其它适应症的已接受TAVALISSE评估的受试者。
8. Crysvita(burosumab-twza)
X-连锁低磷性佝偻病(XLH)是一种罕见的遗传性疾病,也是最常见的低血磷酸佝偻病,每20000人中就有一人受此病影响。XLH携带在X染色体上,虽然几乎所有的X连锁疾病都是隐性的,但是XLH是其中少数显性遗传的疾病之一。
4月18日,FDA批准了单克隆抗体药物Crysvita(burosumab-twza)的上市申请,用于治疗1岁及以上儿童和成年人的XLH。Burosumab由日本药企协和麒麟(Kyowa Kirin)和Ultragenyx合作开发,是针对成纤维细胞生长因子23(FGF23)的重组完全人源化单克隆IgG1抗体,是全球第一个获批治疗XLH的药物。
在一项招募了134名患者的Ⅲ期临床中,以1:1随机分配1 mg/kg剂量burosumab或安慰剂,每4周1次,疗程24周。24周后,来自两组的患者继续开放标签试验,在此期间,他们每4周1次接受1mg/kg的Burosumab。
在治疗24至48周后,自研究开始以来接受Burosumab治疗的患者中(n = 68),84%达到并维持了血清磷水平高于正常值下限(2.5 mg/dL)。89%从安慰剂交叉到接受24周Burosumab治疗的患者(n = 66),达到并维持了血清磷水平高于正常值下限。
9. Akynzeo(fosnetupitant /palonosetron)
Akynzeo是5-HT3受体拮抗剂帕洛诺司琼(palonosetron)和NK-1受体拮抗剂fosnetupitant的复方静脉注射剂,用以预防癌症患者化疗出现的恶心和呕吐。
帕洛诺司琼于2008年获得批准,这款药物用于预防癌症化疗开始之后急性期(24 小时内)产生的恶心和呕吐。fosnetupitant是一种新药,用于预防癌症化疗开始后急性期与延迟期(从化疗后 25 小时到 120 小时)产生的恶心和呕吐。
fosnetupitant结构式
2014年10月10日,FDA曾批准同为Helsinn开发并且商品名同样为Akynzeo的口服胶囊制剂,由帕洛诺司琼和netupitant组成的固定剂量复方药物。该产品也是用于癌症化疗患者恶心和呕吐症状的缓解治疗。
netupitant结构式
Akynzeo的有效性基于两项由1720名接受癌症化疗受试者参与的临床试验。受试者被随机注射Akynzeo或口服帕洛诺司琼。该两项试验旨在检测研究药物是否可预防癌症化疗开始后急性期、延迟期及化疗整体阶段的呕吐发作。第一项试验结果显示,急性期、延迟期及化疗整体阶段分别有98.5%、90.4%和 89.6%的Akynzeo治疗受试者未发生呕吐或需急救药物的恶心。相比之下,口服帕洛诺司琼治疗受试者在急性期、延迟期及化疗整体阶段分别有 89.7%、80.1% 和 76.5%的受试者未发生呕吐或需急救药物的恶心。第二项试验显示有类似的结果。
10. Lucemyra(lofexidine hydrochloride)
Lucemyra是一款口服选择性α2-肾上腺素受体激动剂,可减少去甲肾上腺素(norepinephrine)的释放。去甲肾上腺素在自主神经系统中的作用被认为在阿片戒断的许多症状中起作用。 FDA批准Lucemyra用于缓解成年人阿片类药物突然停药后出现的戒断症状。
lofexidine结构式
Lucemyra的安全性和有效性得到了两项随机、双盲、安慰剂对照临床试验的支持,866名符合阿片类药物依赖的诊断和统计手册IV标准的成年人参与了这些临床试验。研究评估了使用SOWS-Gossop(短鸦片剂量戒表)的益处,该量表用于评估阿片类戒断症状。症状包括感觉不适、胃痉挛、肌肉痉挛/抽搐、感觉冷淡、心跳加速、肌肉紧张、疼痛、打哈欠、流眼泪和失眠/失眠。
11. Aimovig(erenumab-aooe)
Aimovig是FDA批准的首个降钙素基因相关肽(Calcitonin gene related peptide,CGRP)抗体药物,用于预防成人偏头痛,患者每月1次自行皮下注射给药。
Aimovig的疗效在3项临床研究中得到证实。第1项研究入组955例有偏头痛间歇发作病史的患者,比较Aimovig与安慰剂的疗效差异,经过6个月治疗,给药组每月头痛发作天数比安慰剂组平均少1~2天;第2项研究入组577例偏头痛间歇发作患者,经过3个月治疗,给药组每月头痛发作天数比安慰剂组平均少1天;第3项研究入组667例有慢性偏头痛发作史的患者,经过3个月治疗,给药组每月头痛发作天数比安慰剂组平均少2.5天。
见:FDA批准首个GPCR抗体药物!20年来首个预防偏头痛新药,销售峰值预测125亿美元
12. Lokelma(sodium zirconium cyclosilicate)
Lokelma(前称ZS-9,环硅酸钠锆)在两度遭到FDA拒绝(首次是在2015年5月,第二次是在2017年3月)后,于5月18日终于获得FDA批准,用于治疗罹患高钾血症(hyperkalaemia)的成人患者。这是一种严重的疾病,表现为与心血管、肾脏和代谢相关的血钾水平升高。
ZS-9晶体结构
Lokelma由ZS制药公司研制,阿斯利康于2015年11月以27亿美元收购ZS制药公司后获得了这款潜在重磅药物。 Lokelma被视为best-in-class的高钾血症治疗药物。
Lokelma是一种不溶性的、非吸收的新型选择性阳离子交换剂,其结构设计为优先捕获钾离子。获批是基于3项双盲、安慰剂对照研究和一项开放标签研究的数据。在这些研究中,接受Lokelma治疗的高钾血症患者,其血液钾浓度达到正常水平的中位时间为2.2小时,高达98%的患者在治疗48小时内达到正常水平。此外,Lokelma也表现出持续长达一年的血钾水平控制。
13. Doptelet(avatrombopag)
血小板是骨髓中产生的无色细胞,帮助在血管中形成血凝块,防止出血。血小板减少症是血液中的循环血小板数低于正常数量的一种病症。当患者的血小板数有中度或重度减少时,可能会发生严重甚至危及生命的出血,特别是在实施侵入性手术过程中。严重血小板减少症患者通常需要在手术前接受血小板输注,以增加血小板计数。
Doptelet(avatrombopag)是第二代、每日一次的口服首个血小板生成素(TPO)受体激动剂。Doptelet能模拟TPO的作用,它是正常血小板生产的主要调节者。该药物曾获得优先审评资格,治疗将接受手术的CLD成人患者的血小板减少症。
avatrombopag结构式
Doptelet的安全性和有效性在两项试验(ADAPT-1和ADAPT-2)中得到了验证。这些研究共包含435名慢性肝病和严重血小板减少症患者,他们将接受通常需要输注血小板的手术。这些试验评估了两个剂量水平的口服Doptelet与安慰剂相比治疗5天的效果。
14. Palynziq(pegvaliase-pqpz)
PKU是一种罕见的遗传病,在患者出生时就表现出来,会导致对大脑的各种累积毒性。在美国,每12,500个新生儿中就有1人受PKU影响。PKU表现为患者无法分解Phe,这是一种在所有形式的蛋白质中发现的氨基酸。如果不进行治疗,高水平的Phe会对大脑产生毒性,并可能导致严重的神经和神经精神问题,影响人们思考、感受及行为方式。
Palynziq是一种聚乙二醇化的重组苯丙氨酸解氨酶,用来替代PKU患者缺乏的苯丙氨酸羟化酶(PAH)以分解Phe。
Palynziq效果在临床试验中得到证实。在关键Ⅲ期研究PRISM-2中,Palynziq与安慰剂相比显著降低了血液Phe水平(p<0.0001),抵达了血液Phe变化的主要终点。在PRISM-2双盲、安慰剂对照、随机停药期试验(RWP)中,患者以2:1的比例被随机分配继续接受Palynziq治疗(每日20 mg或每日40 mg)或接受安慰剂,持续8周。结果显示,Palynziq组患者可以维持血液Phe浓度,而安慰剂组患者的血液Phe浓度恢复到治疗前基线。
15. Olumiant(baricitinib)
类风湿关节炎是一种慢性且容易发生进展的关节炎,非常疼痛。目前,TNF抑制剂是常见的类风湿关节炎疗法,但约有2/3的患者无法从首次治疗中得到临床缓解。而且随着时间推移,大量患者无法维持药物的疗效。因此,这些患者急需一款创新药物来缓解病情。
礼来公司与Incyte联合开发的新药Olumiant(baricitinib)治疗罹患中度至重度类风湿关节炎、却无法从TNF抑制剂治疗中受益的成人患者。
baricitinib结构式
Olumiant是一款每日一次的口服JAK抑制剂,能高效抑制JAK1、JAK2、以及TYK2。在人体内,不少细胞因子依赖于JAK的活性,其在不少炎性疾病和自身免疫疾病的发病过程中有潜在作用。通过抑制多种JAK的活性,Olumiant有望给类风湿关节炎患者带来福音。
16. Moxidectin(moxidectin)
盘尾丝虫病是继沙眼后在世界上致盲的第二大原因,这是一种旋盘尾线虫寄生于人体皮肤、皮下组织和眼部所致苔藓样皮炎、皮下结节和视力障碍为特征的寄生虫病,又称河盲症或瞎眼丝虫病。
6月13日,FDA批准莫西克汀(moxidectin)用于12岁及以上患者的盘尾丝虫病(河盲症)治疗,使用方式为每天口服8mg(4片2mg片剂)。
moxidectin结构式
莫西克汀是一种新型抗寄生虫药,由链霉菌发酵所得的单一成分的大环内酯类抗生素。其获批主要是基于两项临床研究数据。
试验1中,978名患者接受Moxidectin片剂,单次口服剂量为8mg;494名患者接受伊维菌素单次口服剂量约为150mcg/kg。 试验2中,127名患者接受Moxidectin片剂,单次口服剂量范围从2mg(这不是获得批准的剂量)到8mg(38名接受推荐的8mg剂量),45名患者接受伊维菌素的单次口服剂量约为150mcg/ kg。数据显示,在抑制皮肤中微丝虫方面,莫西克汀比目前标准治疗法(ivermectin)有显著性优势。
17. Epidiolex(cannabidiol)
Lennox-Gastaut综合征(LGS),是一种与年龄有关的隐源性或症状性全身性癫痫综合征,即年龄依赖性癫痫性脑病的一种类型。其特点为发病年龄早,幼儿时期起病,发作形式多样,智力发育受影响,治疗较困难。是一种严重的癫痫类型。
Dravet综合征(Dravet syndrome,DS)又称婴儿严重肌阵挛性癫痫,是一种少见的主要由遗传因素引起的进行性癫痫性脑病,具有发病年龄早,发作类型多样,发作频率高,智能损害严重,药物治疗效果差等特点。该病预后较差,几乎所有患儿都有认知损伤。
6月25日被FDA批准的Epidiolex(cannabidiol)[CBD]口服溶液就是用于治疗2岁及以上患者的这两种罕见综合征的严重癫痫发作。
Epidiolex是FDA批准的第一种含有从大麻中提取的纯化药物的药物,同时是是FDA首次批准用于治疗Dravet综合征患者的药物。
cannabidiol结构式
Epidiolex辅助治疗LGS和DS相关癫痫的获批,是基于3个III期安全性和有效性研究的数据,每一个研究都达到了主要终点。这些研究中,Epidiolex的一般耐受性良好。Epidiolex NDA中包括大约1500例患者的安全数据,以及大约400例患者连续治疗1年以上的数据。除了关键的安全性和有效性数据外,NDA中还包括一个全面的临床药理学、临床前和毒理学数据集。
18. Zemdri(plazomicin)
Zemdri(plazomicin)用于由某些肠杆菌科细菌感染引起的、治疗选择非常有限或无治疗选择的复杂性尿路感染(cUTI,包括肾盂肾炎)成人患者,该药是一种静脉输注药物,每天给药一次。
plazomicin结构式
Zemdri的获批,是基于一项跨国,双盲,非劣效性试验,共有609名患有cUTI(包括肾盂肾炎)的成年患者,被随机分配到接受Zemdri(15mg/kg IV每日一次,30分钟输液)和美罗培南(每8小时静脉注射1g,30分钟输液)治疗,比较两者的综合治愈率以及消除感染微生物比例效果。结果显示较美罗培南组相比,接受Zemdri治疗的患者具有显著的综合治愈率(81.7% VS 70.1%)及消除感染微生物比例(89.5% VS 74.6%)。
不过Zemdri的血液感染(BSI)适应症却遭FDA拒绝批准,原因是在一项临床试验中缺乏有效性结论。
19~20. Braftiovi+Mektovi
Braftiovi(encorafenib)是一种口服小分子BRAF激酶抑制剂,而Mektovi(binimetinib)是一种口服小分子MEK抑制剂,可以靶向MAPK信号通路(RAS-RAF-MEK-ERK)中的关键酶。这两个药物均为Array BioPharma开发。
encorafenib结构式
binimetinib结构式
FDA批准Braftiovi与Mektovi组合疗法是基于Ⅲ期临床试验COLUMBUS的结果。与单独使用vemurafenib相比,Braftiovi+Mektovi使中位无进展生存期(mPFS)翻倍(7.3个月 VS 14.9个月)。
